17th BCS questions bank and solution.
১৭ তম বি সি এস প্রশ্ন ও সমাধান ১। f(x)…
১৭ তম বি সি এস প্রশ্ন ও সমাধান
১। f(x) = x2 + 1/x +1 এর অনুরূপ কোনটি?
ক) f(1) = 1
খ) f(0) = 1
গ) f(-1) = 3
ঘ) f(1) = 3
উত্তরঃ ঘ) f(1) = 3
ব্যাখ্যাঃ ছবিতে দেখুন

২। x + y = 0 এবং 2x – y + 3 = 0 সরলরেখা দুটি কোন বিন্দুতে ছেঁদ করে?
ক) (-1/3, 1/3)
খ) (1,-1 )
গ) (-3,3)
ঘ) (-1,1)
উত্তরঃ ঘ) (-1,1)
ব্যাখ্যাঃ ছবিতে দেখুন

৩। একটি সোনার গহনার ওজন ১৬ গ্রাম। তাতে সোনার পরিমাণঃতামার পরিমাণ = ৩:১। তাতে কি পরিমাণ সোনা মেশালে অনুপাত ৪:১ হবে?
ক) ৬ গ্রাম
খ) ৫ গ্রাম
গ) ৪ গ্রাম
ঘ) ৮ গ্রাম
উত্তরঃ গ) ৪ গ্রাম
ব্যাখ্যাঃ ছবিতে দেখুন।

৪। যদি x2 + px + 6 = 0 এর মূল দুটি সমান হয় এবং p>0 হয়, তবে p এর মান-
ক) √৪৮
খ) ০
গ) √৬
ঘ) √২৪
উত্তরঃ ঘ) √২৪
ব্যাখ্যাঃ ছবিতে দেখুন

17th BCS questions bank and solution.
৫। আরব দেশসমূহে পাশ্চাত্যের উপর প্রথম তেল অবরোধ করে-
ক) ১৯৭০ সালে
খ) ১৯৭৩ সালে
গ) ১৯৭৪ সালে
ঘ) ১৯৭৮ সালে
উত্তরঃ খ) ১৯৭৩ সালে
ব্যাখ্যাঃ ১৯৭৩ সালের ১৭ অক্টোবর আরব ইসরাইল যুদ্ধের প্রেক্ষাপটে মধ্যপ্রাচ্যে তেল উৎপাদনকারী দেশসমূহ (ওপেকভুক্ত) তেলকে অস্ত্র হিসেবে গ্রহণ করে যুক্তরাষ্ট্রসহ পশ্চিমা বিশ্বের কতিপয় শিল্পোন্নত দেশের বিরুদ্ধে তেল নিষেধাজ্ঞা জারি করে।
৬। পোলিও টিকার আবিষ্কারক জোনাস সাল্ক যুক্তরাষ্ট্রের একটি শহরে মারা যান, শহরটির নাম-
ক) La Martini
খ) La Zola
গ) San Antinio
ঘ) San Hose
উত্তরঃ খ) La Zola
ব্যাখ্যাঃ মার্কিন চিকিৎসক জোনাস সাল্ক (১৯১৪-১৯৯৫ )- ১৯৫২ সালে পোলিও টিকা আবিষ্কার করেন। (সূত্র: উইকিপিডিয়া]
৭। বাংলাদেশে গবাদি পশুতে প্রথম ভ্রুন বদল করা হয়-
ক) ৫ মে, ১৯৯৪
খ) ৬ এপ্রিল, ১৯৯৪
গ) ৫ মে, ১৯৯৫
ঘ) ৭ মে ১৯৯৫
উত্তরঃ গ) ৫ মে, ১৯৯৫
ব্যাখ্যাঃ বাংলাদেশে গবাদি পশুতে প্রথম ভ্রূণ বদল করা হয় ৫ মে, ১৯৯৫ সালে।
৮। “বেনেলাক্স” বলতে যে দেশগুলোকে বোঝায়-
ক) সুইডেন, নরওয়ে, ফিনল্যান্ড
খ) চেক প্রজাতন্ত্র, পোল্যান্ড, জার্মানি
গ) বেলজিয়াম, নেদারল্যান্ড, লুক্সেমবার্গ
ঘ) ইংল্যান্ড, আইরিশ প্রজাতন্ত্র, ফ্রান্স
উত্তরঃ গ) বেলজিয়াম, নেদারল্যান্ড, লুক্সেমবার্গ
ব্যাখ্যাঃ Be-বেলজিয়াম; ne-নেদারল্যান্ড; lux লুক্সেমবার্গ = (Benelex)। ১৯৫৮ সালে প্রতিষ্ঠিত অর্থনৈতিক জোটটির সদর দপ্তর বেলজিয়ামের ব্রাসেলসে অবস্থিত।
৯। বাংলাদেশে ঢোকার পর গঙ্গা নদী ব্রহ্মপুত্র যমুনার সাথে নিন্মোক্ত একটি জায়গায় মেশে-
ক) গোয়ালন্দ
খ) বাহাদুরবাদ
গ) ভৈরববাজার
ঘ) নারায়ণগঞ্জ
উত্তরঃ ক) গোয়ালন্দ
ব্যাখ্যাঃ গঙ্গা নদী গঙ্গোত্রী হিমবাহ থেকে উৎপত্তি হয়ে নেপাল ও ভারতের মধ্য দিয়ে প্রবাহিত হয়ে চাঁপাইনবাবগঞ্জ জেলা দিয়ে পদ্মা নাম ধারণ করে বাংলাদেশে প্রবেশ করেছে। পরবর্তীতে নদীটি রাজবাড়ী জেলার গোয়ালন্দে ব্রহ্মপুত্র-যমুনার সাথে মিলিত হয়েছে। এ মিলিত প্রবাহ চাঁদপুরে পদ্মা নামে মেঘনার সাথে মিলিত হয়েছে।.
১০। ১৮৭৪ সালে ঢাকা শহরে পানি সরবরাহ কার্যক্রম স্থাপিত হয়-
ক) সদরঘাটে
খ) চাঁদনীঘাটে
গ) পোস্তগোলায়
ঘ) শ্যামবাজারে
উত্তরঃ খ) চাঁদনীঘাটে
ব্যাখ্যাঃ ১৮৭৪ সালে চাঁদনীঘাট তবে ২০০২ সালে সায়েদাবাদে দেশের সর্ববৃহত্তম পানি শোধনাগার স্থাপিত হয়।
।
১১। পর্তুগিজ ভাষা থেকে নিন্মোক্ত একটি শব্দ বাংলা ভাষায় আত্তীকরণ করা হয়েছে?
ক) টেবিল
খ) চেয়ার
গ) বালতি
ঘ) শরবত
উত্তরঃ গ) বালতি
ব্যাখ্যাঃ পর্তুগিজ ভাষার শব্দ- চাবি, আনারস, পেঁপে, পেয়ারা, বাতাবি, জানালা, তোয়ালে, বালতি, আলমারি, পাউরুটি, ফিতা, পেরেক, কামরা, টুপি, আলপিন, আলকাতরা, বোতাম, ইত্যাদি। অন্যদিকে, চেয়ার, টেবিল ইংরেজি এবং শরবত- আরবি শব্দ।
১২। ঢাকার বড় কাটরা ও ছোট কাটরা শহরের নিন্মোক্ত একটি এলাকায় অবস্থিত-
ক) চকবাজার
খ) সদরঘাট
গ) লালবাগ
ঘ) ইসলামপুর
উত্তরঃ ক) চকবাজার
ব্যাখ্যাঃ ঢাকার বড় কাটরা (১৬৪৪)-শাহাজাদা সুজা: ছোট কাটরা (১৬৬৪), লালবাগের কেল্লা, সাত গম্বুজ মসজিদ নির্মাণ করেন- শায়েস্তা খান।
।
১৩। ‘কর্নার স্টোন অব পিস’ এ স্মৃতিসৌধটি সম্প্রতি স্থাপিত হয়েছে-
ক) মাকাও
খ) হাইতি
গ) ওকিনাওয়া
ঘ) ভিয়েতনাম
উত্তরঃ খ) হাইতি
ব্যাখ্যাঃ হাইতি উত্তর আমেরিকার পশ্চিম ভারতীয় দ্বীপপুঞ্জের একটি দেশ। ১৯০৪ সালে স্বাধীনতাপ্রাপ্ত হাইতির রাজধানী পোর্ট অব প্রিন্সে ‘কর্নার স্টোন অব পিস’ অবস্থিত।
১৪। বাংলাদেশের একটি জীবন্ত জীবাশ্মের নাম-
ক) রাজ কাঁকড়া
খ) গণ্ডার
গ) পিপীলিকাভুক ম্যানিস
ঘ) স্নো লোরিস
উত্তরঃ উত্তরঃ ক) রাজ কাঁকড়া
ব্যাখ্যাঃ জীবন্ত জীবাশ্ম বলতে সেসব জীবকে বুঝায় যারা সুদূর অতীতে জন্ম নিয়ে তেমন কোনো বিবর্তন না হয়েই বর্তমানেও টিকে আছে। বাংলাদেশের জীবন্ত জীবাশ্মের উদাহরণ হচ্ছে ‘রাজ কাঁকড়া”।
১৫। ‘আকোয়া রেজিয়া’ বলতে বোঝায়-
ক) কনসেনট্রেটেড সালফিউরিক এসিড
খ) কনসেনট্রেটেড নাইট্রিক এসিড
গ) কনসেনট্রেটেড সালফিউরিক এসিড এবং কনসেনট্রেটেড নাইট্রিক এসিডের মিশ্রণ
ঘ) কনসেনট্রেটেড নাইট্রিক ও হাইড্রোক্লরিক এসিডের মিশ্রণ
উত্তরঃ ঘ) কনসেনট্রেটেড নাইট্রিক ও হাইড্রোক্লরিক এসিডের মিশ্রণ
ব্যাখ্যাঃ ১ মোল গাঢ় নাইট্রিক এসিডের সাথে ৩ মোল গাঢ় হাইড্রোক্লোরিক এসিডের মিশ্রণকে ‘অ্যাকোয়া রেজিয়া” বলে। স্বর্ণ, প্লাটিনাম প্রভৃতি ধাতু নাইট্রিক এসিড কিংবা হাইড্রোক্লোরিক এসিডে দ্রবীভূত হয় না। তবে এসব ধাতু অ্যাকোয়া রেজিয়া-তে দ্রবীভূত হয়। অ্যাকোয়া রেজিয়া কে রাজম্ন ও বলে ।
১৬। বায়ুমণ্ডলে চাপের ফলে ভূ-গর্ভস্থ পানি লিফট পাম্পের সাহায্যে সর্বোচ্চ যে গভীরতা থেকে উঠানো যায়-
ক) ১ মিটার
খ) ১০ মিটার
গ) ১৫ মিটার
ঘ) ৩০ মিটার
উত্তরঃ খ. ১০ মিটার
ব্যাখ্যাঃ বায়ুমণ্ডলের স্বাভাবিক চাপ ১০ মিটারের অধিক বায়ুস্তরকে ধরে রাখতে পারে না। লিফট পাম্প স্বাভাবিক বায়ুর চাপের দ্বারা পানি ওঠায়, এ কারণে লিফট পাম্প ১০ মিটারের ওপরে পানি ওঠাতে পারে না।
১৭। বাংলা ভাষায় প্রথম কাব্য সংকলন ‘চর্যাপদ’ এর আবিষ্কারক-
ক) ডঃ মুহাম্মাদ শহীদুল্লাহ
খ) ডঃ সুনীতিকুমার চট্টোপাধ্যায়
গ) হরপ্রসাদ শাস্রী
ঘ) ডঃ সুকুমার সেন
উত্তরঃ গ) হরপ্রসাদ শাস্রী
ব্যাখ্যাঃ প্রাচীন যুগের বাংলা ভাষার শ্রেষ্ঠ নিদর্শন চর্যাপদ ১৯০৭ সালে মহামহোপাধ্যায় হরপ্রসাদ শাস্ত্রী নেপালের রক্তমস্থাগার থেকে আবিষ্কার করেন। চর্যাশ্চর্যবিনিশ্চয়, সরহপাদ, কৃষ্ণপাদের দোহা এবং ডাকার্ণব এ চারটি পুঁথি একত্রে তাঁর সম্পাদনায় ‘হাজার বছরের পুরান বাংলা ভাষায় বৌদ্ধগান ও দোহা’ নামে ১৯১৬ সালে ‘বঙ্গীয় সাহিত্য পরিষদ’ থেকে গ্রন্থাকারে প্রকাশিত হয় ।
১৮। হিন্দি ‘পদুমাবৎ’ এর অবলম্বনে ‘পদ্মাবতী’ কাব্যের রচয়িতা-
ক) দৌলত উজীর বাহরাম খান
খ) সৈয়দ সুলতান
গ) আব্দুল করিম সাহিত্যবিশারদ
ঘ) আলাওল
উত্তরঃ ঘ) আলাওল
ব্যাখ্যাঃ আরাকান রাজসভার শ্রেষ্ঠ কবি আলাওল মালিক মুহম্মদ জায়সীর হিন্দিকাব্য ‘পদুমাবৎ’ অবলম্বনে ‘পদ্মাবতী’ কাব্যটি রচনা করেন। আলাওল রচিত প্রথম ও শ্রেষ্ঠ রচনা ‘পদ্মাবতী’ কাব্যটি আব্দুল করিম সাহিত্যবিশারদ সম্পাদনা করেন। আলাওল রচিত অন্যান্য অনুবাদ কাব্যগ্রন্থ হলো- সয়ফুলমূলক বদিউজ্জামাল, সিকান্দরনামা, হপ্তপয়কর, তোহফা ।
১৯। ‘তত্ত্ববোধিনী পত্রিকা’ প্রথম প্রকাশিত হয়-
ক) ১৮৪১ সালে
খ) ১৮৪২ সালে
গ) ১৮৫০ সালে
ঘ) ১৮৪৩ সালে
উত্তরঃ ১৮৪৩ সালে
ব্যাখ্যাঃ ১৮৩৯ সালে প্রতিষ্ঠিত ‘তত্ত্ববোধিনী সভা’ কর্তৃক এ পত্রিকা প্রকাশিত হয়। ১৮৪৩ সালে প্রকাশিত ‘তত্ত্ববোধিনী’ পত্রিকার সম্পাদক ছিলেন অক্ষয়কুমার দত্ত ।
২০। উপসর্গের সাথে প্রত্যয়ের পার্থক্য-
ক) অব্যয় ও শব্দাংশ
খ) নতুন শব্দ গঠনে
গ) ‘উপসর্গ’ থাকে সামনে আর প্রত্যয় থাকে পিছনে
ঘ) ভিন্ন অর্থ প্রকাশে
উত্তরঃ গ) ‘উপসর্গ’ থাকে সামনে আর প্রত্যয় থাকে পিছনে
ব্যাখ্যাঃ যে বর্ণ বা বর্ণসমষ্টি ধাতু বা শব্দের পর যুক্ত হয়ে নতুন শব্দ গঠন করে তাকে প্রত্যয় বলে। যেমন- লাজ + উক = লাজুক, vচল + আ = চলা ইত্যাদি। আর যে অব্যয় ধাতুর পূর্বে যুক্ত হয়ে নতুন শব্দ গঠন করে বাক্যের বা অর্থের সম্প্রসারণ সংকোচন বা অন্যকোনো পরিবর্তন ঘটায় তাকে উপসর্গ বলে। যেমন- অকাজ, পরাজয়, ফিসন ইত্যাদি। উপসর্গ তিন প্রকার ।
২১। যে ছন্দের মূল পর্বের মাত্রা সংখ্যা চার, তাকে বলা হয়-
ক) স্বরবৃত্ত
খ) পয়ার
গ) মাত্রাবৃত্ত
ঘ) অক্ষরবৃত্ত
উত্তরঃ ক) স্বরবৃত্ত
ব্যাখ্যাঃ তিন প্রকার ছন্দের: স্বরবৃত্ত- ৪ মাত্রা, মাত্রাবৃত্ত ৬ মাত্রা ও অক্ষরবৃত্ত-৮/১০ মাত্রা।
২২। The sentence with correct punctuations-
ক) Maria, my student, is on leave today
খ) Maria my student, is on leave today
গ) Maria, my student, is on leave today
ঘ) Maria my student is, on leave today
উত্তরঃ ক) Maria, my student, is on leave today
ব্যাখ্যাঃ My student হলো Appositive যার উভয় পাশে কমা বসবে।
২৩। The antonym for ‘inimical’-
ক) hostile
খ) friendly
গ) indifferent
ঘ) angry
উত্তরঃ খ) friendly
ব্যাখ্যাঃ Inimical (শত্রুতা) এর বিপরীত Friendly (বন্ধুভাবাপন্ন) ।
২৪। The synonym for ‘efface’-
ক) improve
খ) exhaust
গ) rub out
ঘ) cut out
উত্তরঃ উত্তরঃ গ) rub out
ব্যাখ্যাঃ Efface এবং Rub out এর অর্থ মুছে ফেলা/বিলোপ সাধন ।
২৫। The best passive form of the sentence: ‘we don’t like idle people’ –
ক) We are not liked by idle people
খ) Idle people are not like us
গ) Idle people are not liked by us
ঘ) Idle people are not of our liking
উত্তরঃ উত্তরঃ গ) Idle people are not liked by us
ব্যাখ্যাঃ বাক্যটির Passive voice এর structure হবে sub (obj)+be+not+ V(past participle) + by+ obj (sub)
২৬। The correct sentence of the followings:
ক) The Nile is longest river in Africa
খ) The Nile is longest river in the Africa
গ) Nile is longest river in Africa
ঘ) The Nile is the longest river in Africa
উত্তরঃ উত্তরঃ ঘ) The Nile is the longest river in Africa
ব্যাখ্যাঃ নদীর পূর্বে the এবং Superlative এর পূর্বে the বসে। বিশ্বে যে জিনিস একটি আছে রয়েছে তার পূর্বে the বসবে।
২৭। টুথপেস্টের প্রধান উপাদান কি?
ক) জেলি ও মশলা
খ) ভোজ্য তেল ও সোডা
গ) সাবান ও পাউডার
ঘ) ফ্লোরাইড ও ক্লোরোফিল
উত্তরঃ উত্তরঃ গ) সাবান ও পাউডার
ব্যাখ্যাঃ টুথপেস্টের প্রধান উপাদান সাবান ও পাউডার।
২৮। পানির ছোট ফোঁটা পানির যে গুনের জন্য গোলাকৃতি হয়-
ক) আদ্রতা
খ) স্থিতিস্থাপকতা
গ) প্লবতা
ঘ) পৃষ্টটান
উত্তরঃ উত্তরঃ ঘ) পৃষ্টটান
ব্যাখ্যাঃ পানির ফোঁটার পরস্পর আকর্ষণ- সান্দ্রতা; পানির ফোঁটার গোলাকৃতি-পৃষ্ঠটান ।
২৯। মুক্তা হলো ঝিনুকের-
ক) খোলসের টুকরা
খ) চোখের মণি
গ) প্রদাহের ফল
ঘ) জমাট হরমোন
উত্তরঃ উত্তরঃ গ) প্রদাহের ফল
ব্যাখ্যাঃ ঝিনুকের প্রদাহের ফলে মুক্তার সৃষ্টি হয়। ঝিনুকের খোলসের অভ্যন্তরে কোনো বস্ত্র প্রবেশ করলে ঐ স্থানে প্রদাহের সৃষ্টি হয় এবং ঐ বস্তুকে জড়িয়ে ঝিনুকের শরীর হতে এক প্রকার পদার্থ বের হয় যা মুক্তায় রূপ নেয়।
৩০। ল্যাপটপ হলো এক ধরনের-
ক) পর্বতারোহণ সামগ্রী
খ) ছোট কুকুর
গ) বাদ্যযন্ত্র
ঘ) ছোট কম্পিউটার
উত্তরঃ উত্তরঃ ঘ) ছোট কম্পিউটার
ব্যাখ্যাঃ ল্যাপটপ একধরনের ছোট কম্পিউটার। ১৯৮১ সালে ‘এপসন কোম্পানি প্রথমে ল্যাপটপ কম্পিউটার তৈরি করে।
৩১। বাংলাদেশের পাহাড় শ্রেণীর ভূতাত্ত্বিক যুগের ভূমিরূপ হচ্ছে-
ক) প্লাইসটোসিন যুগের
খ) টারশিয়ারী যুগের
গ) মায়োসিন যুগের
ঘ) ডেবোনিয়ান যুগের
উত্তরঃ উত্তরঃ খ) টারশিয়ারী যুগের
ব্যাখ্যাঃ বাংলাদেশের ভূ-প্রকৃতিকে প্রধানত তিন ভাগে ভাগ করা হয়। তন্মধ্যে পাহাড় শ্রেণির ভূ-তাত্ত্বিক যুগের ভূমিরূপটি টারশিয়ারি যুগের।
৩২। বাংলেদেশের সবচেয়ে উত্তরে অবস্থিত স্থানের নাম-
ক) তেতুলিয়া
খ) পঞ্চগড়
গ) বাংলাবান্ধা
ঘ) নকশালবাড়ি
উত্তরঃ উত্তরঃ গ) বাংলাবান্ধা
ব্যাখ্যাঃ বাংলাদেশের সর্বদক্ষিণের স্থান- ছেঁড়াদ্বীপ, সর্বপূর্বের স্থান- আখানইঠান, সর্ব পশ্চিমের স্থান- মনাকশা এবং সর্ব উত্তরের স্থান- বাংলাবান্ধা।
৩৩। ‘সোয়াচ অব নো গ্রাউণ্ড’ এর মানে-
ক) একটি খেলার মাঠ
খ) একটি প্লাবন ভূমির নাম
গ) বঙ্গোপসাগরের একটি খাদের নাম
ঘ) ঢাকা সেনানিবাসের পোলো গ্রাউণ্ডের নাম
উত্তরঃ উত্তরঃ গ) বঙ্গোপসাগরের একটি খাদের নাম
ব্যাখ্যাঃ : সেয়াচ আব নো গ্রাউন্ড বঙ্গোপসাগরের একটি গভীরতম খাদের নাম যা বাংলায় বঙ্গখাত নামে পরিচিত।
৩৪। ব্রিটিশ বনিকেদের বিরুদ্ধে একজন চাকমা জুমিয়া নেতা বিদ্রোহের পতাকা উড়িয়েছিলেন, তার নাম-
ক) রাজা ত্রিদিব রায়
খ) রাজা ত্রিভুবন চাকমা
গ) জুম্মা খান
ঘ) জান বকস খাঁ
উত্তরঃ গ) জুম্মা খান
ব্যাখ্যাঃ নয়া অর্থনৈতিক ব্যবস্থা (NIEO) বলতে বুঝায় ৭৭-জাতি গোষ্ঠী এবং ন্যাম রাষ্ট্রসমূহের পক্ষ থেকে তৃতীয় বিশের উন্নয়নশীল দেশগুলোর অর্থনৈতিক অগ্রগতি ও মুক্তির লক্ষ্যে প্রণীত পরিকল্পনাকে। ১৯৪৭ সালের ৩০ এপ্রিল অনুষ্ঠিত জাতিসংঘের সাধারণ পরিষদের ৬ষ্ঠ অধিবেশনে প্রস্তাবটি পাশ হয়।
৩৫। (১২৫/২৭)–২/৩ –এর সহজ প্রকাশ-
ক) ৩/২৫
খ) ৫/২০
গ) ৯/২৫
ঘ) ৩/২০
উত্তরঃ গ) ৯/২৫
ব্যাখ্যাঃ আপডেট করা হচ্ছে।

৩৬। দুটি লম্বালম্বি পরিমাণ 5N এবং 4N , তাদের লব্ধি পরিমাণ কত?
ক) 3 N
খ) √11 N
গ) √41 N
ঘ) 1 N
উত্তরঃ উত্তরঃ গ) √41 N
ব্যাখ্যাঃ আপডেট করা হচ্ছে।

৩৭। নিচের কোন ক্ষুদ্র তম সংখ্যাকে ৩, ৫ ও ৬ দ্বারা ভাগ করলে ভাগশেষ ১ হবে?
ক) ৭১
খ) ৪১
গ) ৩১
ঘ) ৩৯
উত্তরঃ উত্তরঃ গ) ৩১
ব্যাখ্যাঃ ৩, ৫, ৬ এর ল. সা. গু = ৩০. ৩০ + ১ = ৩১।
৩৮। একটি কাঠের টুকরার দৈর্ঘ্য আরেকটি টুকরার দৈর্ঘ্যের ৩ গুন। টুকরো দুটি সংযুক্ত করা হলে সংযুক্ত টুকরাটির দৈর্ঘ্য ছোট টুকরার চেয়ে কত গুন বড় হবে?
ক) ৩ গুন
খ) ৪ গুন
গ) ৫ গুন
ঘ) ৮ গুন
উত্তরঃ খ) ৪ গুন
ব্যাখ্যাঃ ছবিতে দেখুন

৩৯। নয়া আন্তর্জাতিক অর্থনৈতিক ব্যবস্থার প্রস্তাব জাতিসংঘের সাধারণ পরিষদের কোন বিশেষ অধিবেশনে গৃহীত হয়?
ক) দ্বিতীয়
খ) তৃতীয়
গ) পঞ্চম
ঘ) ষষ্ঠ
উত্তরঃ ঘ) ষষ্ঠ
ব্যাখ্যাঃ নয়া অর্থনৈতিক ব্যবস্থা (NIEO) বলতে বুঝায় ৭৭-জাতি গোষ্ঠী এবং ন্যাম রাষ্ট্রসমূহের পক্ষ থেকে তৃতীয় বিশের উন্নয়নশীল দেশগুলোর অর্থনৈতিক অগ্রগতি ও মুক্তির লক্ষ্যে প্রণীত পরিকল্পনাকে। ১৯৪৭ সালের ৩০ এপ্রিল অনুষ্ঠিত জাতিসংঘের সাধারণ পরিষদের ৬ষ্ঠ অধিবেশনে প্রস্তাবটি পাশ হয়।
৪০। মধ্য এশিয়ায় অবস্থিত আয়তনে সর্ববৃহৎ প্রজাতন্ত্রের নাম-
ক) তাজিকিস্তান
খ) কাজাকিস্তান
গ) উজবেকিস্তান
ঘ) কিরগিজস্তান
উত্তরঃ গ) উজবেকিস্তান
ব্যাখ্যাঃ মধ্য এশিয়ার সর্ববৃহৎ প্রজাতন্ত্র কাজাখস্তান এর বর্তমান রাজধানী আস্তানা।
৪১। জোট নিরোপেক্ষ আন্দোলনের প্রথম শীর্ষ সম্মেলন কবে অনুষ্ঠিত হয় ?
ক) হারারে, ১৯৮৯ সাল
খ) বেলগ্রেড, ১৯৬১ সাল
গ) হাভানা, ১৯৭৩ সাল
ঘ) কায়রো, ১৯৭০ সাল
উত্তরঃ খ) বেলগ্রেড, ১৯৬১ সাল
ব্যাখ্যাঃ বাংলাদেশ ১৯৭২ সালে জোট নিরপেক্ষ আন্দোলনের সদস্য পদ লাভ করে। সর্বশেষ ১৭তম শীর্ষ সম্মেলন ২০১৬ সালে ভেনিজুয়েলার পোরপ্লামারে অনুষ্ঠিত হয়। ১৮তম সম্মেলন অনুষ্ঠিত হবে বাকু, আজারবাইজান (২০১৯)।
৪২। ১৭২৫ সালে বিশ্বের প্রাচীন তম রেস্তোরা চালু করেছিল ইউরোপের একটি শহরে, তার নাম এবং রেস্তোরার নাম –
ক) ইতালির মিলান শহর, মালদিনীয়ানি
খ) জার্মানির হামবুর্গ শহর, ক্যাসানোভা
গ) স্পেনের মাদ্রিদ শহর, কাসা বোতিল
ঘ) ফ্রান্সের টুলোন শহর, লাফ্রাঁসে
উত্তরঃ উত্তরঃ গ) স্পেনের মাদ্রিদ শহর, কাসা বোতিল
৪৩। দক্ষিণ এশীয় সহযোহিতা সংস্থা – (SAARC) এর ষষ্ঠ শীর্ষ সম্মেলন অনুষ্ঠিত হয়েছিল –
ক) মালেতে
খ) দিল্লীতে
গ) কলম্বোতে
ঘ) কাঠমুন্ডতে
উত্তরঃ গ) কলম্বোতে
ব্যাখ্যাঃ ১৮তম সার্ক শীর্ষ সম্মেলন অনুষ্ঠিত হয় ২৬-২৭ নভেম্বর, ২০১৪ নেপালের কাঠমাণ্ডুতে। ১৯তম সার্ক শীর্ষ সম্মেলন ২০১৬ পাকিস্তানে অনুষ্ঠিত হওয়ার কথা থাকলেও ভারত-পাকিস্তানের বিরোধের কারণে তা স্থগিত করা হয়।
৪৪। When a person says he’s `all in’ it means .
ক) He is very tired
খ) He is has arrived
গ) He has finished packing
ঘ) He has got everything
উত্তরঃ ক) He is very tired
ব্যাখ্যাঃ all in অর্থ অবসাদগ্রস্ত যাকে ইংরেজিতে very tired বলে।
৪৫। `Bill of fare’ is –
ক) A chart of bus fare
খ) A price list
গ) A valuable document
ঘ) A list of dishes at restaurant
উত্তরঃ উত্তরঃ ঘ) A list of dishes at restaurant
ব্যাখ্যাঃ Bill of Fare বলতে রেস্তোরাঁতে খাদ্যমূল্যের তালিকাকে বোঝায় । Bill of exchange হুন্ডি।
৪৬। A ‘bull market’ means that share prices are-
ক) falling
খ) rising
গ) moving
ঘ) static
উত্তরঃ খ) rising
ব্যাখ্যাঃ bull market বলতে Share Market এর ঊর্ধ্বগামিতাকে বোঝায়। bear market অর্থ- Falling.(নিম্নগতি)।
।
৪৭। ‘Blue chips’ are-
ক) Securities issued by the government
খ) Industrial shares considered to be a safe investment
গ) Industrial shares considered to be a risky investment
ঘ) Flat plastic counters used as money tokens
উত্তরঃ খ) Industrial shares considered to be a safe investment
ব্যাখ্যাঃ Blue chips হলো নির্ভরযোগ্যতা
।
৪৮। ‘Razzmatazz’ means-
ক) A musical instrument
খ) A well-planned programme
গ) A noisy activity
ঘ) A musical drama
উত্তরঃ গ) A noisy activity
ব্যাখ্যাঃ Razzmatazz অৰ্থ হৈচৈ পূর্ণ (a noisy activity) কাজ ।
৪৯। ‘সিরাজাম মুনীরা’ কাব্যের রচয়িতার নাম-
ক) তালিম হোসেন
খ) ফররুখ আহমদ
গ) গোলাম মোস্থফা
ঘ) আবুল হোসেন
উত্তরঃ খ) ফররুখ আহমদ
ব্যাখ্যাঃ মুসলিম রেঁনেসার কবি হিসেবে পরিচিত ফররুখ আহমদ রচিত কাব্যগ্রন্থ- সাত সাগরের মাঝি, সিরাজাম মুনীরা, নৌফেল ও হাতেম, মুহূর্তের কবিতা ইত্যাদি। তালিম হোসেন রচিত কাব্যগ্রন্থ- দিশারী, নূরের জাহান। গোলাম মোস্তফা রচিত কাব্যগ্রন্থ- রক্তরাগ, বনি আদম, বুলবুলিস্তান, গীতি সঞ্চয়ন ইত্যাদি।
৫০। ‘ষড়ঋতু’ শব্দের সন্ধি বিচ্ছেদ-
ক) ষড় + ঋতু
খ) ষড় + ঋতু
গ) ষট + ঋতু
ঘ) ষট্ + ঋতু
উত্তরঃ ঘ) ষট + ঋতু
ব্যাখ্যাঃ পূর্বপদের শেষে ‘ট’ থাকলে এবং পর পদের প্রথমে যেকোনো একটি স্বরবর্ণ থাকলে ‘টি’ বর্গের স্থানে ড/ড় বসে। যেমন: ষট + দশ = ষোড়শ।
৫১। “বীরবল” নিন্মোক্ত একজন লেখকের ছদ্মনাম-
ক) প্রমথ চৌধুরী
খ) ধূর্জটি প্রসাদ মুখোপাধ্যায়
গ) সুধীন্দ্রনাথ দত্ত
ঘ) নবীনচন্দ্র সেন
উত্তরঃ ক) প্রমথ চৌধুরী
ব্যাখ্যাঃ বাংলা সাহিত্যে চলিত গদ্যরীতির প্রবর্তক প্রমথ চৌধুরীর ছদ্মনাম- বীরবল। চলিত ভাষায় রচিত তাঁর প্রথম গদ্যরচনা- বীরবলের হালখাতা। তিনি বাংলা কাব্য সাহিত্যে ইটালীয় সনেটের প্রবর্তক।
৫২। ‘লাপাত্তা’ শব্দের ‘লা’ উপসর্গটি বাংলায় এসেছে-
ক) আরবি ভাষা থেকে
খ) ফরাসি ভাষা থেকে
গ) হিন্দি ভাষা থেকে
ঘ) উর্দু ভাষা থেকে
উত্তরঃ ক) আরবি ভাষা থেকে
ব্যাখ্যাঃ আম, না, খাস, বাজে, গর, খয়ের – আরবি; নিম্ন, ফি, বদ, বে, বর- ফারসি; এবং হর, হরেক- উর্দু হিন্দি উপসর্গ ।
৫৩। রাশিয়ার যে শহরের হাসপাতালে আক্রমণ করার পর বাধ্য হয়ে রাশিয়া চেচনিয়ার সাথে শান্তি বৈঠকে বসতে রাজি হয়েছে তার নাম-
ক) Budennovsk
খ) Keldavisk
গ) Dasanova
ঘ) Garlev
উত্তরঃ ক) Budennovsk
৫৪। বাংলাদেশকে স্বাধীন দেশ হিসেবে স্বীকৃতিদানকারী দ্বিতীয় দেশের নাম-
ক) ভারত
খ) রাশিয়া
গ) ভুটান
ঘ) নেপাল
উত্তরঃ গ) ভুটান
ব্যাখ্যাঃ বাংলাদেশকে প্রথম স্বীকৃতিদানকারী দেশ ভুটান (৬ ডিসেম্বর, ১৯৭১ সূত্র: পররাষ্ট্র দপ্তর ও জাতীয় সংসদে উত্থাপিত প্রস্তাবের জবাব)। সে হিসেবে বাংলাদেশকে স্বীকৃতি দানকারী দ্বিতীয় দেশ ভারত। উল্লেখ্য, আরব দেশগুলোর মধ্যে বাংলাদেশকে প্রথম স্বীকৃতি দেয় ইরাক ৮ জুলাই, ১৯৭২ এবং প্রথম মুসলিম দেশে হিসেবে সেনেগাল স্বীকৃতি দেয় ১ ফেব্রুয়ারি, ১৯৭২।
৫৫। কক্সবাজার ছাড়া বাংলাদেশের আর একটি আকর্ষণীয় ও পর্যটন অনুকূল সমুদ্র সৈকত –
ক) নোয়াখালীর ছাগলনাইয়া
খ) চট্টগ্রামের বাশখালি
গ) খুলনার মংলা
ঘ) পটুয়াখালীর কুয়াকাটা
উত্তরঃ ঘ) পটুয়াখালীর কুয়াকাটা
ব্যাখ্যাঃ কুয়াকাটা বাংলাদেশের দক্ষিণ-পশ্চিমাঞ্চলের একটি সমুদ্র সৈকত ও পর্যটনকেন্দ্র। পর্যটকদের কাছে কুয়াকাটা ‘সাগর কন্যা হিসেবে পরিচিত। ১৮ কিলোমিটার দৈর্ঘ্যের কুয়াকাটা সৈকত বাংলাদেশের অন্যতম নৈসর্গিক সমুদ্র সৈকত। এটি বাংলাদেশের একমাত্র সৈকত যেখান থেকে সূর্যোদয় এবং সূর্যাস্ত দুটোই দেখা যায়।
।
৫৬। বাংলাদেশে বাস নেই এমন উপজাতির নাম-
ক) সাঁওতাল
খ) মাওরি
গ) মুরং
ঘ) গারো
উত্তরঃ খ) মাওরি
ব্যাখ্যাঃ মাওরি উপজাতির বসবাস নিউজিল্যান্ড। সাঁওতাল, মুরং ও গারোরা বাস করে যথাক্রমে বাংলাদেশের রাজশাহী, নওগাঁ, দিনাজপুর, বান্দরবান এবং ময়মনসিংহ, জামালপুর, নেত্রকোনা, হবিগঞ্জ ও মৌলভীবাজাবারে।
৫৭। লালবাগ দুর্গের অভ্যন্তরে সমাধিতে সমাহিত শায়েস্তা খানের এক কন্যার আসল নাম-
ক) পরিবিবি
খ) ইরান দুখত
গ) জাহানারা
ঘ) মরিয়ম
উত্তরঃ খ) ইরান দুখ্ত
ব্যাখ্যাঃ লালবাগ দুর্গের অভ্যন্তরে সমাধিতে সমাহিত শায়েস্তা খানের কন্যা বিবি পরীর আসল নাম ইরান দুখত। উল্লেখ্য, পরীবিবি ছিলেন মোগল সম্রাট আওরঙ্গজেবের পুত্র মুহাম্মদ আযম শাহর বাগদত্তা।
৫৮। ১৯৯৪ সালের ১ লা ডিসেম্বর বৃহস্পতিবার হলে, ১৯৯৫ সালে ঐ একই তারিখে হবে-
ক) বৃহস্পতিবার
খ) শুক্রবার
গ) রবিবার
ঘ) শনিবার
উত্তরঃ খ) শুক্রবার
ব্যাখ্যাঃ সাধারণ বছর শেষে একদিন বৃদ্ধি পায়; লিপইয়ার হলে দুইদিন বৃদ্ধি পায়। ১৯৯৪ সাল লিপইয়ার নয় অর্থাৎ ৪ দ্বারা বিভাজ্য নয় তাই একদিন বৃদ্ধি পেয়ে হবে শুক্রবার ।
৫৯। একটি ত্রিভুজাকৃতি ক্ষেত্রের ক্ষেত্রফল ৮৪ বর্গগজ। ত্রিভুজটির শীর্ষবিন্দু হতে ভূমির উপর অংকিত লম্বের দৈর্ঘ্য ১২ গজ হলে ভূমির দৈর্ঘ্য কত?
ক) ১০ গজ
খ) ১২ গজ
গ) ১৪ গজ
ঘ) ৭ গজ
উত্তরঃ গ) ১৪ গজ
ব্যাখ্যাঃ আপডেট করা হচ্ছে।

৬০। x – [x – { x – (x + 1)}] –এর মান কত?
ক) x + 1
খ) 1
গ) – 1
ঘ) x – 1
উত্তরঃ গ) – 1
ব্যাখ্যাঃ x – x – x – (x + 1)}] = x – x – {x – x – 1}] = x – x + 1] = x-x-1=-1
৬১। AB ও CD সরলরেখায় ‘O’ বিন্দুতে ছেদ করলে নিচের কোন গাণিতিক বাক্যটি সঠিক হবে?
ক) খ) গ) < BOC= < AOC ঘ) উত্তরঃ ক) ” ৬২। ঢাকা ও চট্টগ্রাম এই দুটি স্টেশন থেকে প্রতি ঘণ্টায় একটা ট্রেন এক স্টেশন থেকে অন্য স্টেশনের দিকে যাত্রা করে। সব ট্রেনগুলোই সমান গতিতে চলে এবং গন্তব্যস্থলে পৌছাতে প্রত্যেক ট্রেনের ৫ ঘণ্টা সময় লাগে। এক স্টেশন থেকে অন্য স্টেশনে পৌঁছান পর্যন্ত একটা ট্রেন কয়টা ট্রেনের দেখা পাবে? ক) ৮ খ) ১০ গ) ১১ ঘ) ১২ উত্তরঃ খ) ১০
৬৩। লুপ্ত সংখ্যাটি কত? ৮১, ২৭, …………, ৩, ১ ক) ৬ খ) ৯ গ) ১২ ঘ) ১৫ উত্তরঃ খ) ৯
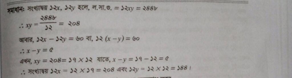
৬৪। দুটি সংখ্যার গ.সা.গু, বিয়োগফল এবং ল.সা.গু যথাক্রমে ১২, ৬০, এবং ২৪৪৮। সংখ্যা দুটি কত? ক) ১০৮, ১৪৪ খ) ১১২, ১৪৮ গ) ১৪৪, ২০৮ ঘ) ১৪৪, ২০৪ উত্তরঃ ঘ) ১৪৪, ২০৪
৬৫। ‘বিশ্ব তামাকমুক্ত দিবস’ প্রতিপালিত হয় প্রতি বছরের- ক) ৩১ জানুয়ারি খ) ৩০ মার্চ গ) ৩০ এপ্রিল ঘ) ৩১ মে উত্তরঃ ঘ) ৩১ মে
৬৬। মার্কিন যুক্তরাষ্ট্রকে ‘স্ট্যাচু অব লিবার্টি’ উপহার দেয় যে রাষ্ট্র- ক) যুক্তরাজ্য খ) ফ্রান্স গ) জাপান ঘ) জার্মান উত্তরঃ খ) ফ্রান্স
৬৭। নিম্নের যে দেশটি জাতিসংঘের সদস্য নয়- ক) নামিবিয়া খ) ভ্যাটিক্যান সিটি গ) কিউবা ঘ) পানামা উত্তরঃ খ) ভ্যাটিক্যান সিটি
৬৮। আধুনিক অলিম্পিকের প্রবর্তক বা জনক- ক) বেডেন পাওয়েল খ) ব্যরন পিয়ারে দ্য কুবার্তা গ) প্যাঁরেজ দ্য কুয়েলার ঘ) জুয়ান এন্টানিও সামারাঞ্চ উত্তরঃ খ) ব্যরন পিয়ারে দ্য কুবার্তা
৬৯। স্বাধীনতার আগে পাপুয়া নিউগিনি কোন দেশের অধীন ছিল? ক) ব্রিটেন খ) ফ্রান্স গ) অস্ট্রেলিয়া ঘ) নিউজিল্যান্ড উত্তরঃ গ) অস্ট্রেলিয়া
৭০। ‘আমার সন্তান যেন থাকে দুধে ভাতে’ লাইনটি নিন্মোক্ত একজনের কাব্যে পাওয়া যায়- ক) মুকুন্দুরাম চক্রবর্তী খ) ভারতচন্দ্র রায় গ) মদনমোহন তর্কালংকার ঘ) কামিনী রায় উত্তরঃ ভারতচন্দ্র রায়
৭১। ১৯৯৪ সালে যে প্রবন্ধকার বাংলা একাডেমি পুরষ্কার পেয়েছেন- ক) হুমায়ূন আজাদ খ) আহমদ রফিক গ) ওয়াকিল আহমদ ঘ) আবদুল মতিন খান উত্তরঃ গ) ওয়াকিল আহমদ
৭২। ‘কেউ মালা, কেউ তসবি গলায়, তাইতো জাত ভিন্ন বলায়’ এ পঙক্তিটি নিচের একজনের লেখা- ক) লালন শাহ্ খ) সিরাজ সাঁই গ) মদন বাউল ঘ) পাগলা কানাই উত্তরঃ ক) লালন শাহ্
৭৩। ‘অক্ষির সমীপে’র সংক্ষেপে হলো- ক) সমক্ষ খ) পরোক্ষ গ) প্রত্যক্ষ ঘ) নিরপেক্ষ উত্তরঃ ক) সমক্ষ
৭৪। ‘হযরত মোহাম্মদ (সঃ) ছিলেন আদর্শ মানব’- বাক্যটি নিন্মোক্ত একটি শ্রেণীর- ক) মিশ্র খ) জটিল গ) যৌগিক ঘ) সরল উত্তরঃ ঘ) সরল
৭৫। ‘Blockbuster’ means: ক) A large solid piece of stone খ) A device to cut off persons head as punishment গ) Something that makes movement difficult ঘ) A powerful explosive to demolish buildings উত্তরঃ ঘ) A powerful explosive to demolish buildings
৭৬. Any one of the following pairs are literary collaborators- ক) Eliot and pound খ) Yeats and Eliot গ) Pope and Dryden ঘ) Shelly and keats উত্তরঃ ঘ) Shelly and keats
৭৭. The correct sentence of the followings – ক) A new cabinet has been sworn in Dhaka খ) A new cabinet has been sworn a Dhaka গ) A new cabinet has been sworn by in Dhaka ঘ) A new cabinet has sworn in Dhaka উত্তরঃ ক) A new cabinet has been sworn in Dhaka
৭৮. To read between the lines’ means – ক) To read carefullay খ) To read only some lines গ) To read quick to save time ঘ) To read carefully to find out any hidden meaning উত্তরঃ ঘ) To read carefully to find out any hidden meaning
৭৯. The last word of the proverb . Handsome is that handsome____________’ ক) Works খ) thinks গ) says ঘ) does উত্তরঃ ঘ) does
৮০. ”মধুর চেয়ে আছে মধুর সে আমার এই দেশের মাটি আমার দেশের পথের ধুলা খাঁটি সোনার চেয়ে খাঁটি” । কবিতার এই অংশবিশেষের রচিয়তা – ক) রবীন্দ্রনাথ ঠাকুর খ) মোহাম্মদ মনিরুজ্জামান গ) সত্যেন্দ্রনাথ দত্ত ঘ) নির্মেলেন্দু গুণ উত্তরঃ গ) সত্যেন্দ্রনাথ দত্ত
৮১. বাংলাদেশের অতি পরিচিত খাদ্য গোলআলু । এই খাদ্য আমাদের দেশে আনা হয়েছিল – ক) ইউরোপের হল্যান্ড থেকে খ) দক্ষিণ আমেরিকা পেরু-চিলি থেকে গ) আফ্রিকার মিশর থেকে ঘ) এশিয়ার থাইল্যান্ড থেকে উত্তরঃ ক) ইউরোপের হল্যান্ড থেকে
৮২. কাপ্তাই থেকে প্লাবিত পার্বত্য চট্টগ্রামের উপত্যকা এলাকা – ক) মারিস্যা ভ্যালি খ) খাগড়া ভ্যালি গ) জাবরী ভ্যালি ঘ) ভেঙ্গী ভ্যালি উত্তরঃ ঘ) ভেঙ্গী ভ্যালি
৮৩. বাংলাদেশে প্রথম চায়ের আরম্ভ হয় – ক) সিলেটের মালনীছড়ায় খ) পার্বত্য চট্টগ্রামের খাগড়াছড়িতে গ) সিলেটের জাফলং ঘ) সিলেটের তামাবিলে উত্তরঃ ক) সিলেটের মালনীছড়ায়
৮৪. ‘স্টেপস’ ভাস্কর্যটি সিউল অলিম্পিকের পার্কে স্থান পেয়েছে । এর ভাস্কর এর নাম – ক) নভেরা আহমেদ খ) হামিদুজ্জামান খান গ) আব্দুল্লাহ খালেক ঘ) সুলতান ইসলাম উত্তরঃ খ) হামিদুজ্জামান খান
৮৫. Browning was the composer of any of the following poems – ক) Two voices খ) The Scholar Gipsy গ) Andrea del sarto ঘ) Oneone উত্তরঃ গ) Andrea del sarto
৮৬. The right word to fill in the gap of the following sentence : Give her a telephone number to ring she gets lost. ক) Whether খ) in case গ) unless ঘ) perhaps উত্তরঃ খ) in case
৮৭. The synonym of `Franchise’ – ক) Privilege খ) Utility গ) French ঘ) Frankness উত্তরঃ ক) Privilege
৮৮. The correct spelling is – ক) Humourous খ) Humourious গ) Humorous ঘ) Humorious উত্তরঃ গ) Humorous
৮৯. The opposite word of `sluggish’ – ক) Animated খ) Dull গ) Heavy ঘ) Slow উত্তরঃ ক) Animated
৯০. `Equivocation’ means – ক) A true statement খ) Equal opportunity to get a job গ) Free expression of opinions ঘ) Two contrary things in the same statment উত্তরঃ ঘ) Two contrary things in the same statment
৯১. Natural protein এর কোড নাম – ক) protein – P53 খ) Protien – P51 গ) Protien – P49 ঘ) Protien – P54 উত্তরঃ গ) Protien – P49
৯২. উত্তর আটলান্টিক চুক্তি সংস্থা গঠিত হয়েছিল – ক) ৪ এপ্রিল, ১৯৪৯ খ) ৩ জানুয়ারি, ১৯৫৪ গ) ২৬ মে, ১৯৫৫ ঘ) ১ ফেব্রুয়ারি, ১৯৫৬ উত্তরঃ ক) ৪ এপ্রিল, ১৯৪৯
৯৩. ওপেকভুক্ত একমাত্র অনারব এশীয় দেশ – ক) ইন্দোনেশিয়া খ) মালয়েশিয়া গ) থাইল্যান্ড ঘ) ফিলিপাইন উত্তরঃ ক) ইন্দোনেশিয়া
৯৪. Persona-non-garta শব্দ সমষ্টি যে বিশেষ ক্ষেত্রে প্রযোজ্য – ক) রাজনীতিবিদ খ) ক্রীড়াবিদ গ) ব্যবসায়ী ঘ) কূটনীতিবিদ উত্তরঃ ঘ) কূটনীতিবিদ
৯৫. যে যুদ্ধের প্রেক্ষাপটে সাধারণ পরিষদে Uniting for peace resolution গ্রহীত হয়েছিল – ক) সুয়েজ খাল খ) কোরীয় যুদ্ধ গ) পাক-ভারত যুদ্ধ – ১৯৬৫ ঘ) ফকল্যান্ড উত্তরঃ খ) কোরীয় যুদ্ধ
৯৬. কমনওয়েলথের বর্তমান সদস্য সংখ্যা – ক) ৪৮ খ) ৫০ গ) ৫৪ (২০১২) ঘ) ৫৭ উত্তরঃ গ) ৫৪ (২০১২)
৯৭. ‘লাঠালাঠি’ শব্দটির সমাস – ক) দ্বন্দ খ) বহুব্রীহি গ) কর্মধারয় ঘ) তৎপুরুষ উত্তরঃ খ) বহুব্রীহি
৯৮. বাংলা ভাষার উদ্ভব হয়েছে নিম্মোক্ত একটি ভাষা থেকে – ক) সংস্কৃত খ) পালি গ) প্রাকৃত ঘ) অপভ্রংশ উত্তরঃ গ) প্রাকৃত
৯৯. শব্দার্থ অনুসারে বাংলা ভাষার শব্দসমষ্টিকে বাগ করা যায় – ক) দুই ভাগে খ) তিন ভাগে গ) চার ভাগে ঘ) পাঁচ ভাগে উত্তরঃ খ) তিন ভাগে
১০০. মানব জীবন, মহৎ জীবন ,উন্নত জীবন কার লেখা? ক) এস ওয়াজেদ আলী খ ) ইয়াকুব আলী চৌধুরী গ) ডা. মোঃ লুৎফর রহমান ঘ)মোঃ ওয়াজেদ আলী উত্তরঃ গ) ডা. মোঃ লুৎফর রহমান

ব্যাখ্যাঃ ছবিতে দেখুন ।
ব্যাখ্যাঃ প্রতি ধাপে ৩ দিয়ে ভাগ করা হয়েছে ।
ব্যাখ্যাঃ ছবিতে দেখুন ।
ব্যাখ্যাঃ তামাকের ভয়াবহতা নিয়ন্ত্রণ এবং তামাকমুক্ত বিশ্ব গড়ার লক্ষ্যে বিশ্ব স্বাস্থ্য সংস্থার (ডব্লিউএইচও) সদস্য রাষ্ট্রসমূহ ১৯৮৭ সালের ৩১ মে বিশ্ব তামাকমুক্ত দিবস চালু করে। তারপর থেকে প্রতি বছর ৩১ মে বিশ্ব তামাকমুক্ত দিবস পালন করা হয়।
ব্যাখ্যাঃ নিউইয়র্কের হাডসন নদীর তীরে অবস্থিত স্ট্যাচু অব লিবার্টি ফ্রান্স ১৮৮৫ সালে যুক্তরাষ্ট্রকে উপহার দেয়।
।
ব্যাখ্যাঃ বর্তমানে উপরিউক্ত সকল দেশই জাতিসংঘের সদস্য। ২০০২ সালে সুইজারল্যান্ড জাতিসংঘের সদস্যপদ লাভ করে। কসোভো ও ভ্যাটিকান সিটি জাতিসংঘের সদস্য নয়।
ব্যাখ্যাঃ ১৮৮৬ সালে প্রবর্তিত আধুনিক অলিম্পিকের জনক ফ্রান্সের বারন পিয়ারে দ্য কুবার্তা।
ব্যাখ্যাঃ পাপুয়া নিউগিনি প্রশান্ত মহাসাগরের একটি দ্বীপ রাষ্ট্র। ১৯৭৫ সালের ১৬ সেপ্টেম্বর অস্ট্রেলিয়ার নিকট থেকে দেশটি স্বাধীনতা লাভ করে ।
ব্যাখ্যাঃ প্রশ্নোক্ত চরণটি বাংলা সাহিত্যের মধ্যযুগের শেষ কবি ও মঙ্গল ধারার শেষ কবি ভারতচন্দ্রের প্রতিভাব শ্রেষ্ঠ নিদর্শন অনুদামঙ্গল কাব্যের ঈশ্বরী পাটনীর প্রার্থনা।
।
ব্যাখ্যাঃ ১৯৫৫ সালের ৩ ডিসেম্বর বাংলা একাডেমির প্রতিষ্ঠিত হয়। প্রতিষ্ঠানটি ১৯৬০ সাল থেকে বাংলা সাহিত্যে অনন্য অবদানের জন্য পুরস্কার প্রদান করে আসছে। ২০১৮ সালে প্রবন্ধ ও গবেষণায় বাংলা একাডেমি পুরস্কার লাভ করেন- সৈয়দ মোহাম্মদ শাহেদ।।
ব্যাখ্যাঃ বাউল সম্রাট লালন শাহের (১৭৭২-১৮৯০) গানের বিষয়বস্তু অধ্যাত্মিক ধ্যান-অনুধ্যান সমৃদ্ধ দেহতত্ত্ব। কুষ্টিয়ার ছেউরিয়ায় লালনের আখড়া অবস্থিত। ২০০৫ সালে ইউনেস্কো লালনগীতিকে বিশ্বের মৌখিক ও বিমূর্ত ঐতিহ্যসমূহের মধ্যে অন্যতম শ্রেষ্ঠ সম্পদ হিসেবে স্বীকৃতি দান করে। তাঁর রচিত বিখ্যাত কয়েকটি গান— কেউ মালা, কেউ তসবি গলায়: আমার ঘরের চাবি পরের হাতে; খাঁচার ভিতর অচিন পাখি; বাড়ির কাছে আরশি নগর; সব লোকে কয় লালন কি জাত সংসারে প্রভৃতি ।
ব্যাখ্যাঃ ‘অক্ষির সমীপে’- সমক্ষ, অক্ষির অগোচরে- পরোক্ষ; অক্ষির অভিমুখে প্রত্যক্ষ।
ব্যাখ্যাঃ যে বাক্যে একটি মাত্র কর্তা (উদ্দেশ্য) এবং একটি মাত্র সমাপিকা ক্রিয়া (বিধেয়) থাকে, তাকে সরল বাক্য বলে। যেমন: সুশিক্ষিত লোকমাত্রই স্বশিক্ষিত, পুকুরে পদ্মফুল জন্মে প্রভৃতি ।
ব্যাখ্যাঃ Blockbuster হলো শক্তিশালী explosive যা অনেক কিছু ধ্বংস করতে পারে।
ব্যাখ্যাঃ P. B. Shelley (1792-1822)- Revolutionary poet of ice John Keats (1795-1821)-কে poet of beauty বলে। তিনি যক্ষ্মা রোগে মৃত্যুবরণ করেন। আইরিশ কবি W. B. Yeats (1865-1939) গীতাঞ্জলি অনুবাদে রবিঠাকুরকে সহায়তা করেন।
ব্যাখ্যাঃ : যেহেতু প্রতিজ্ঞার কাজটি অন্য কারো মাধ্যমে পরিচালিত তাই এটি Passive form হবে
ব্যাখ্যাঃ “To read between the lines’ অর্থ অত্যন্ত গুরুত্বের সাথে অন্তর্নিহিত অর্থ খুঁজে বের করা।
ব্যাখ্যাঃ প্রশ্নোক্ত কবিতাংশটি রচয়িতা ছন্দের জাদুকর সত্যেন্দ্রনাথ দত্ত। তার অন্যান্য কবিতার বিখ্যাত চরণ কালো আর ধলো বাহিরে কেবল/ভিতরে সবারি সমান রাঙা (মানব জাতি); কুকুরে কাজ কুকুরে করেছে কামড় দিয়েছে পায়/তাই বলে কিরে কুকুরে কামড়ানে মানুষে শোভা পায় (উত্তম ও অধম)।
ব্যাখ্যাঃ আলু (Potato) বৈজ্ঞানিক নাম Solanum tuberosum। ইউরোপের হল্যান্ড (বর্তমানে নেদারল্যান্ডস) থেকে এদেশে আনা হয়।
ব্যাখ্যাঃ কাঙাই থেকে প্লাবিত পার্বত্য চট্টগ্রামের উপত্যকাকে বলে ভেঙ্গী ভ্যালি। এছাড়াও দেশের প্রধান জালিগুলো হলো- হালদা ভ্যালি (খাগড়াছড়ি), বালিশিরা ভ্যালি (মৌলভীবাজার), নাপিতখালি ভ্যালি (কক্সবাজার), সাঙ্গু ভ্যালি (চট্টগ্রাম) এবং মাইনমুখী ভ্যালি (রাঙ্গামাটি) ইত্যাদি ।
ব্যাখ্যাঃ ১৮৫৪ সালে প্রথম সিলেটের মালনীছড়ায় চা চাষ শুরু হয়। মোট ১৬৬টি চা-বাগানের মধ্যে সবচেয়ে বেশি চা-বাগান আছে মৌলভীবাজারে (৯০টি)।
ব্যাখ্যাঃ হামিদুজ্জামান খানের অন্যান্য উল্লেখযোগ্য স্থাপত্যকর্মগুলো হলো- সংশপ্তক (জাহাঙ্গীর নগর বিশ্ববিদ্যালয়), স্বাধীনতা (কাজী নজরুল ইসলাম এভিনিউ), ক্যাকটাস (ঢাকা বিশ্ববিদ্যালয়), শান্তির পাখি (টিএসসি), কিংবদন্তী (মিরপুর) ইত্যাদি।
ব্যাখ্যাঃ Robert Browning (1812-1889) কে বলা হয় poet of man. তাঁর লেখা কবিতাগুলোর মধ্যে Adrea Del Sarto; Fra Lippo Lippi: My Last Duchess of Dramatic Monologue কে উচ্চমার্গে নিয়ে যান।
।
ব্যাখ্যাঃ Franchise অর্থ বিশেষ সুবিধা (Privilege)
ব্যাখ্যাঃ Humorous (adj.) অর্থ রাসাত্মক, রসিকতাপূর্ণ।
ব্যাখ্যাঃ Sluggish (মন্থর, ধীরগতিসম্পন্ন)-এর বিপরীত শব্দ Animated (প্রাণচঞ্চল)।
ব্যাখ্যাঃ Equivocation-দুটি বিপরীতধর্মী অর্থ প্রকাশ করে এমন কিছু ।
ব্যাখ্যাঃ Natural protein এর কোড নাম- P49। এটি একটি জটিল জৈব যৌন যা দেহের বৃদ্ধি সাধন ও ক্ষয় পূরণ করে ।
ব্যাখ্যাঃ উত্তর আটলান্টিক চুক্তি সংস্থা বা NATO প্রতিষ্ঠিত হয় ৪, এপ্রিল ১৯৪৯ সালে। এর সদর দপ্তর বেলজিয়ামের ব্রাসেলসে। এর বর্তমান সদস্য সংখ্যা ২৯।
ব্যাখ্যাঃ Organization of the Petroleum Exporting Countries (OPEC) ১৯৬০ সালের ভেনিজুয়েলার উদ্যোগে প্রতিষ্ঠিত হয়। এর সদর দপ্তর ভিয়েনা, অস্ট্রিয়া। ১০ সেপ্টেম্বর, ২০০৮ সালে ইন্দোনেশিয়া OPEC ত্যাগ করায় বর্তমানে একমাত্র অ-আরব দেশ ইরান। ওপেকের সদস্য সংখ্যা-১৪ সর্বশেষ সদস্য- কঙ্গো(২০১৮)। সম্প্রতি কাতার ওকে ত্যাগ করে
ব্যাখ্যাঃ এটি একটি স্প্যানিশ শব্দ। কূটনৈতিক পরিভাষায় অবাঞ্ছিত ব্যক্তির ক্ষেত্রে ব্যবহার করা হয়।
ব্যাখ্যাঃ কোরীয় যুদ্ধের প্রেক্ষিতে ১৯৫০ সালের ৩ নভেম্বর সাধারণ পরিষদে Uniting for peace resolution প্রস্তাব গৃহীত হয়। এই প্রস্তাবে বলা হয় ‘জাতিসংঘ নিরাপত্তা পরিষদের মতবিরোধের কারণে যদি নিরাপত্তা পরিষদ আন্তর্জাতিক শান্তি ও নিরাপত্তা বজায় রাখাতে ব্যর্থ হয় তবে সাধারণ পরিষদ জরুরি অধিবেশনে মিলিত হয়ে সিদ্ধান্ত গ্রহণ করতে পারবে।
ব্যাখ্যাঃ ব্রিটিশ সাম্রাজ্যভুক্ত স্বাধীন এবং আশ্রিত দেশগুলোর সংগঠন কমনওয়েলথ প্রতিষ্ঠা লাভ করে ১৯৪৯ সালে। এর বর্তমান সদস্য সংখ্যা ৫৩ এবং সদর দপ্তর-লন্ডনের মার্লবোরো হাউসে। কমনওয়েলথ থেকে সর্বশেষ সদস্যপদ প্রত্যাহারকারী দেশ মালদ্বীপ বর্তমান মহাসচিব প্যাট্রিসিয়া জ্যানেট স্কটল্যান্ড (প্রথম নারী) ।
ব্যাখ্যাঃ ক্রিয়ার পারস্পরিকতা বোঝাতে যে বহুব্রীহি হয়, তাকে ব্যতিহার বহুব্রীহি বলে। যেমন: লাঠালাঠি লাঠিতে লাঠিতে যে লড়াই)। এরূপ- হাতাহাতি, চুলাচুলি, চোখাচোখি, গুঁতাগুঁতি, কানাকানি, কোলাকুলি প্রভৃতি।
ব্যাখ্যাঃ ইন্দো-ইউরোপীয় ভাষা গোষ্ঠী > শতম….> মাগধী প্রাকৃত (সুনীতি কুমার)/গৌড়ীয় প্রাকৃত >মাগধী/গৌড়ীয় অপভ্রংশ> বাংলা (শহীদুল্লাহ)।
।
ব্যাখ্যাঃ শব্দার্থ অনুসারে বাংলা ভাষার শব্দ ভাণ্ডারকে ৩ ভাগে (যৌগিক, রুঢ়ি, যৌগরুঢ়); উৎপত্তি অনুসারে ৫ ভাগে (তৎসম, অর্ধ-তৎসম, তদ্ভব, দেশি, বিদেশি); গঠন অনুসারে- ২ ভাগে (মৌলিক ও সাধিত) ভাগ করা যায়।
ব্যাখ্যাঃ ডা. মোঃ লুৎফ্ফর রহমানের (১৮৮৯-১৯৩৬) রচিত প্রবন্ধ হলো- মানব জীবন, মহৎ জীবন, উন্নত জীবন, সত্য জীবন, ধর্ম জীবন, মহাজীবন ইত্যাদি। এস. ওয়াজেদ আলী রচিত বিখ্যাত প্রবন্ধ- ভবিষ্যতে বাঙালি, প্রাচ্য ও প্রতীচ্য, গ্রানাডার শেষ বীর প্রভৃতি। এয়াকুব আলী চৌধুরী রচিত বিখ্যাত গ্রন্থ- মানব মুকুট, ধর্মের কাহিনী, নূরনবী প্রভৃতি। মোঃ ওয়াজেদ আলী বিখ্যাত গ্রন্থ- মরুভাস্কর, মণিচয়নিকা, মহামানুষ মুহসীন প্রভৃতি ।
